会员中心
|
关注我们
|
大森林招聘
|
千里鸟小包
欢迎:[
]
退出
|
在线留言
|
网站地图
您好欢迎来到大森林官网!
大森林首页
拼箱哥海运
千里鸟空运
大牛海外仓
FBA清关服务
文件下载
末端物流动态
常用网站
跨境百科
联系大森林
大森林专业FBA头程货运
FBA货运代理综合服务商
FBA海运
FBA头程
FBA空运
法国海外仓
服务热线 :
0755-85538553
当前位置:
首页
»
大森林方案中心
»
末端物流动态
»
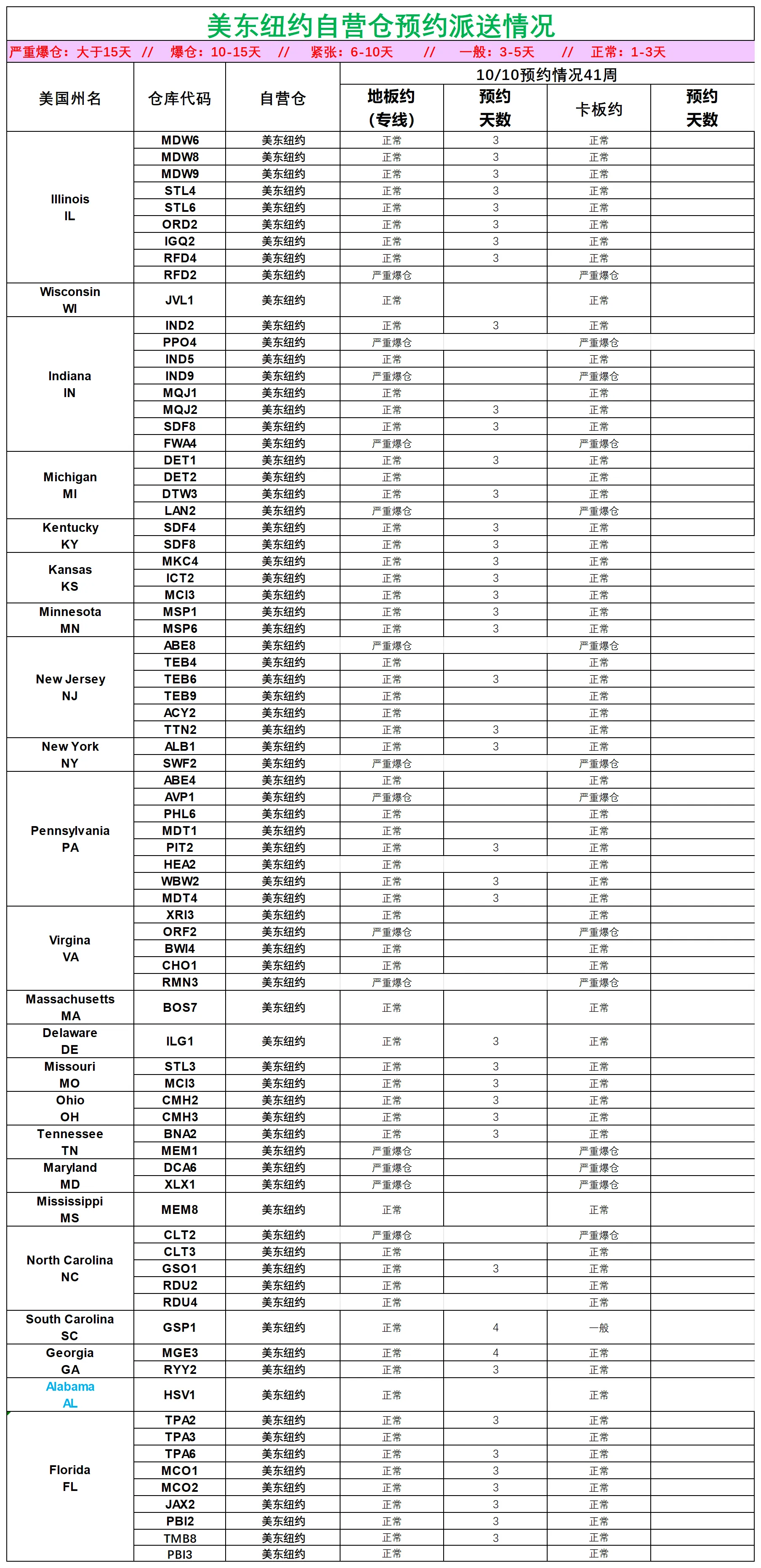
2025年10月10日美国到港时效及后端派送情况更新
详细信息
美国末端配送
尾程物流
到港时效
订单查询
价格查询
运单号/系统单号
查询